.
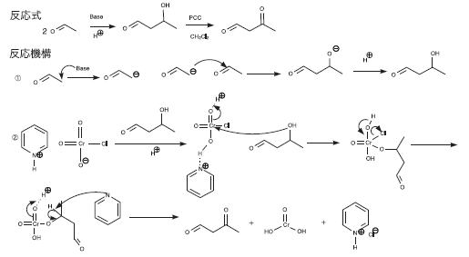
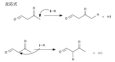
| Q401★化学部にて1,3-butanedioneとその炭素鎖を伸ばした数種類の化合物の合成を計画しています。それらのうちいくつかの化合物は熱に弱いという特徴があります。1)簡単に熱で分解、変性する化合物の構造決定の仕方はあるか、2)1,3-butanedioneの合成と炭素鎖を伸ばす反応の反応機構は適切か、3)1,3-butanedioneの攪拌終了をどのように決定すれば良いか、4)炭素鎖を伸ばす反応とヨウ化アルキル合成の反応条件と規模はどの様なものか、について教えてください。 *質問者が計画した合成方法と反応機構については下記に記載 1) 簡単に熱で分解、変性する化合物の構造決定の仕方はあるか 有機化合物の構造決定にはNMRがよく用いられます(他の方法に比べてスペクトル中に含まれる情報量が多いため)。あるいは、質量分析によって分子イオンピークやフラグメントピークを検出したり、IR、UVなどの分光法によって特徴的な吸収ピークが望みの化合物のそれと一致するかどうかによっても確認できます。これらの機器では加熱することなく常温で測定可能です。常温でも不安定な物質もありますが、その場合は液体窒素などで低温にして測定します。それでも不安定で分解してしまうような場合は、むしろ分解を進めさせて、最終的に何ができるのかを調べるのも方法の一つです。 2) 1,3-butanedioneの合成と炭素鎖を伸ばす反応の反応機構は適切か 1,3-ブタンジオンの合成の反応機構に関しては、①と②のどちらも概ねよろしいのではと思います。①のアルドール反応の機構については、最初の段階において塩基は炭素ではなく水素を攻撃してプロトンとして引き抜きカルボアニオンが生成しますので、塩基が水素を攻撃するように巻矢印(電子対の動きを示す矢印)を描くのがよいでしょう。詳しい反応機構は大学生が使用するような有機化学の教科書(例えばボルハルトショアー現代有機化学 第8版 下 p.1090)に記載されていますのでそちらをご覧ください。②のPCC酸化については、最後の段階(ピリジンが攻撃してケトンが生成する段階)において、Cr-O結合からCrに向けた巻矢印も追加するとよいでしょう。 炭素鎖を伸ばす反応について、残念ながらこの反応はうまく進まないのではないかと考えられます。1,3-ブタンジオンに対して塩基を用いてカルボアニオンを発生させて、それをヨウ化アルキルと反応させようとしても、1,3-ブタンジオンには反応性の高いホルミル基(アルデヒド基)がありますのでカルボアニオンがそちらを攻撃するような反応が進んでしまい、結果的に複雑な混合物を与えてしまう可能性が高いと考えられます。従って、炭素鎖を伸ばした1,3-ジケトンを合成する場合には他の合成法を用いる必要がありそうです(後述)。 3) 1,3-butanedioneの攪拌終了をどのように決定すれば良いか 反応が終了したことを示すのは原料がなくなるか、原料がなくなる速度が遅くなって、これ以上反応が進まないと判断したときです。創意と工夫とで終点を判断する必要があります。分析機器を使用して反応が終了したかどうか調べたい場合は、NMRを用いて反応溶液を測定するのが最もわかりやすいのではと考えられます。IRやUV-Visなどの分光法で反応を追跡し、スペクトルの経時変化が起こらなくなった時点で反応が完結したものとしてもよいかもしれません。これらの反応は通常、数時間程度で容易に進行しますので、こういった機器がなければ、反応が終了したかどうかについては特に調べなくてもよいでしょう。いずれにしても最終的には、単離した生成物の構造を何らかの機器を用いて確認する必要はあります。 4) 炭素鎖を伸ばす反応とヨウ化アルキル合成の反応条件と規模はどの様なものか アルコールからのヨウ化アルキルの合成については、実験化学講座 第4版19巻p.467-および第5版13巻p.452-などに載っています。詳しい合成法(反応条件や規模)はそちらの実験例か、あるいは実験化学講座のなかで引用されている参考文献に記載の合成法を参考にしてください。 炭素鎖を伸ばした1,3-ジケトンの合成法として、例えば1,3-オクタンジオンであれば、ナトリウムエトキシドを用いた塩基性条件下での2-ヘプタノンとギ酸エチルとの反応によって合成する方法が報告されています(詳しい反応条件などはEapen, K. C. et al., Journal of Organic Chemistry 1988, 53(23), 5564を参照してください)。この合成法において、2-ヘプタノンに代えて2-ウンデカノンを用いれば1,3-ドデカンジオン(デカノイルアセトアルデヒド)を合成できると考えられます。2-アルカノンから塩基を用いて末端部分にカルボアニオンを発生させて、それをギ酸エチルに攻撃させるという合成方法です。 中2 (YU, AK) 2022/10/25 質問者が計画した反応機構について 1,3-ブタンジオン(1,3-butanedione)の合成 ![]() 実験手順 ①アセトアルデヒド20mlと10%水酸化ナトリウム水溶液10mlを100mlコニカルビーカーに加え、5〜10℃に反応液を保ったまま撹拌する。攪拌を終えた反応液をジエチルエーテル25〜30mlで2回抽出、エーテル層を硫酸ナトリウムで脱水し無水条件下で減圧蒸留を行い、ジエチルエーテルを飛ばす。そこで残った残渣が3-ヒドロキシブタナール(3-hydroxybutanal)である。(攪拌終了はアセトアルデヒドが反応系からほとんど消えた時である。) ②冷却管のついたフラスコにPCC16gと無水ジクロロメタン100mlを入れ、攪拌しながら3-ヒドロキシブタナール4,4gを含む無水ジクロロメタン10ml溶液を加える。シリカゲルを入れ、15〜20℃に反応液を保ちながら攪拌し続ける。その後、反応液をジエチルエーテル100mlで抽出し、減圧蒸留でジエチルエーテルを飛ばす。この時の残渣が1,3ブタンジオン(1,3butanedione)である。(攪拌終了は3~ヒドロキシブタナールが反応系からほとんど消えた時である。) 参考文献 日本化学会『第5版 実験化学講座15 有機化合物の合成Ⅲ アルデヒド・ケトン・キノン』丸善株式会社,平成15年11月30日,p13、14 炭素鎖最短の1,3-ブタンジオンの合成経路はこのようになっています。攪拌終了の基準は書きましたが、それらを確認する方法が分かりません。アセトアルデヒドは常温で蒸発し、3-ヒドロキシブタナールは少しでも加熱すると脱水してクロトンアルデヒドになってしまうため、TLCなどで調べることができないです。そこをどうすれば良いかご存知でしたら教えて頂きたいです。 デカノイルアセトアルデヒドなどの合成計画 ![]() 1,3ブタンジオンよりも長い炭素鎖を持つ化合物については上記のような反応機構で合成を行いたいと思っており、ヨウ化アルキルの反応性と第一級カルボアニオンの安定性から高い収率が得られると考えています(上記の二つの反応式であれば、上の式が下の式より優先的に進行すると考えられます)。 この反応に使用するヨウ化アルキルは、下記の反応で合成したいと思っています。 または、 ![]() となっています(反応はどちらも水の存在下で行います)。 また、炭素鎖を伸ばす反応とヨウ化アルキルの合成について、適切な反応条件と反応規模がよくわからないので、教えて頂ければありがたいです。 |
![]() |